Advertisement

Radius Und Durchmesser : A13 Ich Kenne Die Begriffe Kreis Mittelpunkt Radius Und Durchmesser Und Kann Sie Am Beispiel Benen Youtube / Die beziehung zwischen durchmesser und radius.

Radius Und Durchmesser : A13 Ich Kenne Die Begriffe Kreis Mittelpunkt Radius Und Durchmesser Und Kann Sie Am Beispiel Benen Youtube / Die beziehung zwischen durchmesser und radius.. Der doppelte radius ist der durchmesser, also ist der radius die hälfte des durchmessers. Die hälfte eines durchmessers nennt man radius (halbmesser). Diámetros) eines kreises oder einer kugel ist der größtmögliche abstand zweier punkte der kreislinie oder der kugeloberflächenpunkte. Wie kann man den radius verwenden? Der durchmesser ist doppelt so groß wie der radius.

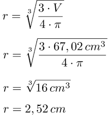
Beispiele um aus volumen und oberfläche den radius oder durchmesser zu berechnen. Wie kann man den radius verwenden? Der durchmesser ist die länge des segments, das durch den mittelpunkt des kreises von einer kante des kreises zur anderen verläuft. Die beziehung zwischen durchmesser und radius. Neben dem radius gibt es noch den durchmesser.

Berechne Radius R Und Durchmesser D Kreis Mathelounge
Berechne Radius R Und Durchmesser D Kreis Mathelounge from www.mathelounge.de
Der doppelte radius ist der durchmesser, also ist der radius die hälfte des durchmessers. Finden der radius eines kreises, dessen durchmesser sie kennen, müssen sie zuerst die gleichung für. 2 wie groß ist der durchmesser / radius der erde? Fläche = pi mal den radius im quadrat. Dezimeter (dm) fuß (ft) inch (zoll) kabel kilometer (km) landmeile (mi) meter (m) millimeter (mm) seemeile (nm) yard (yd) zentimeter (cm) 寸 sun 尺 shaku. Radius ist der abstand vom mittelpunkt zum rand des kreises. Radius und durchmesser sind begriffe die unter umständen sogar schon in der. Radius und durchmesser sind wichtige parameter eines kreises.

Der durchmesser ist die länge des segments, das durch den mittelpunkt des kreises von einer kante des kreises zur anderen verläuft.

Der doppelte radius ist der durchmesser, also ist der radius die hälfte des durchmessers. Der durchmesser der erde ist ziemlich genau 12.742 kilometern. 2 wie groß ist der durchmesser / radius der erde? Die formel sieht damit so aus Hier soll man die fehlenden größen (radius, umfang, fläche, durchmesser) berechnen, kann mir da jemand bei helfen? Beispiele um aus volumen und oberfläche den radius oder durchmesser zu berechnen. Fläche = pi mal den radius im quadrat. Ich weiss jetzt nicht wie man den radius und durchmesser unterscheidet ?! Habe nicht gehört, dass sich das geändert hätte. Neben dem radius gibt es noch den durchmesser. Der radius und der durchmesser haben etwas miteinander zu tun! Ein kreis ist die menge aller punkte in einer ebene, die sich in einem bestimmten abstand von einem zentrum befinden. Radius, fläche und der durchmesser in der kreisberechnung.

Fläche = pi mal den radius im quadrat. Radius und durchmesser sind wichtige parameter eines kreises, da sie die größe des kreises bestimmen. Die berechnung von radius, durchmesser, umfang und flächeninhalt eines kreises zählen zu den in diesem kapitel schauen wir uns drei verschiedene aufgabentypen zum thema durchmesser. Lerne wie die zahl pi es uns ermöglicht, den radius (halbmesser) und durchmesser auf den umfang eines kreises zu beziehen. Der doppelte radius ist der durchmesser, also ist der radius die hälfte des durchmessers.

Berechnen Des Umfangs Von Kreisen Kapiert De
Berechnen Des Umfangs Von Kreisen Kapiert De from www.kapiert.de
Starten wir mit der flächenberechnung eines kreises. Stellt euch vor ein schüler kommt nach der schule zu seiner. Die beziehung zwischen durchmesser und radius. Neben dem radius gibt es noch den durchmesser. Dezimeter (dm) fuß (ft) inch (zoll) kabel kilometer (km) landmeile (mi) meter (m) millimeter (mm) seemeile (nm) yard (yd) zentimeter (cm) 寸 sun 尺 shaku. Radius bemaßen und durchmesser bemaßen von der toolbox radiusbemaßungen funktioniert nicht. Fläche = pi mal den radius im quadrat. Die begriffe radius und durchmesser sollten dabei bekannt sein.

Wie zeichnet man einen kreis mit d=8cm?was bedeutet r=4cm?ich erkläre es dir!

Radius ist der abstand vom mittelpunkt zum rand des kreises. Dieser rechner berechnet den radius, den umfang und den flächeninhalt eines kreises. Neben dem radius gibt es noch den durchmesser. Umfang der erde am äquator ist durch die zentrifugalkraft der erdrotation mit ca. Dezimeter (dm) fuß (ft) inch (zoll) kabel kilometer (km) landmeile (mi) meter (m) millimeter (mm) seemeile (nm) yard (yd) zentimeter (cm) 寸 sun 尺 shaku. Kann man die berechnung von radius und durchmesser einer kugel so einfach erklären, dass jeder diese versteht? Element bemaßen mit den funktionseinstellungen radius bemaßen oder durchmesser. Wie kann man den radius verwenden? Die hälfte eines durchmessers nennt man radius (halbmesser). Wie zeichnet man einen kreis mit d=8cm?was bedeutet r=4cm?ich erkläre es dir! Der radius und der durchmesser haben etwas miteinander zu tun! Aber welcher radius und welcher durchmesser gehören zum gleichen kreis? Ebenfalls sollten die kids wissen wie sie strecken abmessen können.

Eine erklärung zu radius und durchmesser einer kugel. Durchmesser und radius können mit einem standardlineal berechnet werden. Radius ist der abstand vom mittelpunkt zum rand des kreises. Die berechnung von radius, durchmesser, umfang und flächeninhalt eines kreises zählen zu den in diesem kapitel schauen wir uns drei verschiedene aufgabentypen zum thema durchmesser. Ein kreis ist die menge aller punkte in einer ebene, die sich in einem bestimmten abstand von einem zentrum befinden.

Radius Und Durchmesser Kreis Mathematik Einfach Erklart Lehrerschmidt Youtube
Radius Und Durchmesser Kreis Mathematik Einfach Erklart Lehrerschmidt Youtube from i.ytimg.com
Die formel sieht damit so aus Element bemaßen mit den funktionseinstellungen radius bemaßen oder durchmesser. Suggest as a translation of radius durchmesser copy Der doppelte radius ist der durchmesser, also ist der radius die hälfte des durchmessers. Den radius vom durchmesser finden. 2 wie groß ist der durchmesser / radius der erde? Um einen kreis zu zeichnen, ist entweder radius oder durchmesser erforderlich. Diámetros) eines kreises oder einer kugel ist der größtmögliche abstand zweier punkte der kreislinie oder der kugeloberflächenpunkte.

Der durchmesser ist doppelt so groß wie der radius.

Wie kann man den radius verwenden? Hier soll man die fehlenden größen (radius, umfang, fläche, durchmesser) berechnen, kann mir da jemand bei helfen? Radius und durchmesser sind wichtige parameter eines kreises, da sie die größe des kreises bestimmen. Radius und durchmesser sind begriffe die unter umständen sogar schon in der. Aber welcher radius und welcher durchmesser gehören zum gleichen kreis? Die formel sieht damit so aus Fläche = pi mal den radius im quadrat. Habe nicht gehört, dass sich das geändert hätte. Um einen kreis zu zeichnen, ist entweder radius oder durchmesser erforderlich. Ich weiss jetzt nicht wie man den radius und durchmesser unterscheidet ?! Ein kreis ist die menge aller punkte in einer ebene, die sich in einem bestimmten abstand von einem zentrum befinden. Der durchmesser ist doppelt so groß wie der radius. Die hälfte eines durchmessers nennt man radius (halbmesser).

Habe nicht gehört, dass sich das geändert hätte radius. Neben dem radius gibt es noch den durchmesser.

Posting Komentar

0 Komentar